中文首页  |  EN  |  日本語  |  한국어
 
企业研发过程中专利信息的作用与价值
2016-10-27

1专利信息概念

如今,知识资源与信息资源是最主要的智力资源,尤其是基于创新、体现技术的专利信息资源,已越来越体现出高附加值,不可替代、支撑经济可持续发展的战略资源。专利信息属于科学技术信息,主要包括专利文献、专利法律状态、专利审批过程中的文件、专利实施、专利许可、专利转让等信息。专利信息可分为专利基本信息和专利增值信息两大类。


专利基本信息,记载了专利申请,审查、授权、驳回、撤回、转让、许可等专利申请阶段的信息,主要包括专利申请人、发明人、申请日期、授权日期、同族专利、引用和被引用、权利要求书、说明书等信息,如图1所示:专利基本信息


专利增值信息是指以专利基础信息为主要依据,经过加工、标引、统计、分析、整合、转化等手段,基于特定的目的而得到的相关专利信息。主要包括专利的主要技术信息的提炼,专利申请趋势、主要申请人、主要发明人、同族专利等信息,如图2所示:

2:专利增值信息

2专利信息对企业的价值


《国家知识产权战略研究纲要》明确:要引导企业在研究开发立项及开展经营活动前进行知识产权信息检索、制定知识产权信息检索和重大事项预警等制度,并以此作为决策技术,制定各行业的知识产权战略,才能科学地制定我国科技发展规划,为技术创新,产业结构调整,以及生产、经营、进出口贸易及科研发展提供科学依据。


专利信息的价值主要可以应用到以下几个方面:
1)企业战略定位:通过对专利信息的分析、解读,了解企业所属行业的专利申请情况,同行业从业者的专利情况,新增同行者的专利情况,上下游合作者的专利情况,企业自身的专利情况,进而能够评估自身企业所处行业位置、跟踪相关技术的进步、预测行业发展方向、寻求新的合作伙伴、挖掘可用技术人员等,从而制定企业的战略研究发展计划。


2)防范产品市场风险:根据产品即将上市的国家地区,并根据当地专利法,对产品上市之前做全面,系统的侵权预警分析,并作出相应的应对措施 ,以免上市后遭受侵权诉讼,降低风险。


3)技术创新:专利信息是公开性的,这也就给他人提供技术创新提供基础,它可以通过对专利技术信息的详细解读,并通过专利前置引用、后置引用关系,绘制本技术发展路线,从而得到相关技术创新启发。


4)企业生产经营:企业不仅是创新的主体,更是市场生产经营的主体,通过专利信息,来实现企业的收购或技术引进,或者技术输出进入国际市场,生产经营时避免专利侵权纠纷及专利侵权风险。


3专利信息在企业研发过程中的应用


企业在产品研发的过程中,盲目、低水平、重复技术研发,通常会导致产品市场化阶段的失败,从而对产品前期研发的投资造成不可挽回的损失,并且会挫伤企业产品创新的积极性。据统计,全世界最新的发明创造,最先通过专利信息展现出来,在研发各环节注意运用专利信息,不仅能够提高研发创新起点,而且能够避免重复研发已有的技术,节约时间成本和资金投入。


概括的说,专利信息在研发全过程中的主要应用包括:


1)研发前针对专利文献进行技术现状的梳理,查新及开题检索
2)研发过程中进行技术跟踪检索
3)研发成果出来后规划专利申请策略
4)技术产业化前的侵权风险评估


专利信息与企业在研发过程中的应用关系如图3所示:

3:专利信息与企业技术创新之间的关系

1、研发前:对专利文献进行技术梳理,查新及开题检索


如果企业想要开发某一个技术领域的产品,在研发前,需要对这一技术领域内的产品进行专利信息检索并分析,从专利的角度了解产品的基本技术现状,技术发展的路线,技术发展态势,目前存在的技术问题,以及可改进的技术方向等。这些可通过对产品专利信息的宏观、微观分析、技术路线的分析等专利分析获得信息,从而帮助企业获得如下内容:


1)产品是否涉及重复研发,若通过专利信息的分析,得知已有产品相关专利,如果企业贸然进行研发,则会造成重复研发,即使产品上市,也可能带来侵权纠纷,给企业造成巨大损失。


2)寻找创新点:通过专利信息的分析,判断产品现有技术中的技术缺陷,寻找可研发的技术新方向。


例如:宝洁公司于1992年4月24日申请的液体蛋白酶稳定剂专利,申请号为WO1992US03372的专利,其采用了间位取代芳基硼酸,稳定剂的结构式如图4所示:

4:间位取代芳基硼酸结构式

并揭示了芳基硼酸三位上的羟键基团(即上述结构式中的X)可与蛋白水解酶上的氨基酸之间通过氢键相连接,加强了抑制剂和蛋白酶之间的氢键,使得这种硼酸和蛋白酶特别强的结合在一起。


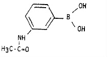
技术人员可通过上述信息,获得一定的技术启示,以芳基硼酸三位上的羟键基团的主要研发方向,寻找稳定效果好的基团,因此有人在此基础上发现胺衍生物为芳基硼酸三位上的羟键基团时,稳定效果最好,胺衍生物本身也是对蛋白酶起到稳定作用的化合物,因此和芳基硼酸三位相结合,对蛋白酶的稳定作用有惊人的作用,尤其是为乙酰胺时,效果最好,并对此技术创新申请了专利。如图5所示:

5:乙酰胺苯硼酸结构式

3)利用公知技术:通过专利信息的分析,从国内外失效的专利信息中获取技术,并加以利用。但是值得主要的是:对国外失效的专利技术,首先看这项技术是否在中国专利,在中国的专利权是否有效等。


例如:若企业较为关心微囊化蛋白酶技术,可通过国内外微囊化蛋白酶技术的专利信息分析,找寻已经失效的专利,并加以技术标引,如表1所示:

1微囊化蛋白酶技术专利信息

1中2件专利均是处于失效的专利,但是第二件专利在中国申请了专利,目前并处于有效状态,因此对于第二件专利所描述的技术内容,在中国无法使用。对于第一件专利所描述的技术内容,并且没有在中国申请专利,因此在中国,此件技术已是公知技术,可以使用,因此企业如果对此件专利所描述的技术感兴趣,即可进行研发生产。充分利用公知技术,降低研发成本,缩短研发时间。


4)通过对专利的引证分析,追踪技术发展趋势、技术新应用、技术新创新点等。


例如:利用ROS增长沸石寿命的电晕丝的专利,可通过对这件专利的引证关系,发现电晕丝技术发展路线,以及在这个过程中,主要参与技术创新的企业等,如图6所示。

6:电晕丝技术引证关系图

2、研发中:技术跟踪检索

根据研发前的专利信息分析,初步锁定研发方向,并根据技术人员锁定的技术创新点,进行定期跟踪检索分析,一方面:是避免重复研发、寻找进一步的技术创新点,跟踪应用技术状态;另一方面可获知行业新从业者等信息。


3、研发后:专利申请布局策略


研发出相应成果之后,一般需要对此件技术进行申请布局,此布局包括两大类型:


1)此技术全球专利申请布局(专利族布局):具有研发成果的技术,根据企业发展规划,在全球进行专利申请布局,抢占市场先机,并在申请专利的过程中,对技术的更也进行专利申请,这些专利统称为一个专利族。


例如:诺维信公司的饲料用微囊化酶的专利申请布局,以饲料用酶为核心,双层膜包覆饲料用酶,增强酶的稳定性及降低固体颗粒的粉尘,尤其是盐涂层能够显著增强酶的稳定性。并将此项技术在全球26个国家地区进行了专利申请布局,并且在申请专利时,进行了技术的细化,如图7所示:

7:WO2005DK00610饲料用微囊化酶的专利申请布局图

2)专利申请技术布局:主要针对已有研发成果的技术,围绕此成果进行的专利申请布局,方式多样,常用的有扩散布局法、包围式布局法,产业链布局、特征替换布局等。


4、技术产业化侵权风险评估


目前在中国已经进入了专利战的高发期,如何积极应对专利侵权事件,是企业必须要掌握的。因此在技术产业化之前,对技术转化成的产品进行侵权风险评估,主要步骤如下:


1)确定自己技术:
准确确定自己技术是进行准确预警的基础,专利文件的检索以及具体的侵权判定分析都基于上述技术分解的结论。


2)确定目标市场
专利预警具有地域性,各个国家的侵权判定标准不同。企业可以根据企业自身的商业发展战略来确定目标国家。


3)确定对比文件
根据技术转化产品上市的地区,检索此产品在当地的专利申请情况,并对专利进行技术点提取,找出和企业自身技术最接近的对比文件。此步骤一定保证检索全面,不能漏检。


4)技术对比
根据第三步检索出来的相关专利,对每一件专利文件进行研究,确定法律状态,确定保护范围,并将检索到的目标专利所描述的内容和自己的技术相对比。


5)侵权预警判定
首先根据目标国法律,确定侵权判定原则;然后将企业自身产品与检索出来的专利进行对比,做出侵权与否的结论。


4总结


综上所述,充分利用专利信息资源能够帮助企业及时掌握所处技术领域的专利信息,并且从专利信息中的法律信息获得哪些技术创新被授权、哪些专利处于无效的状态、哪些专利的同族获得授权得知市场布局等,从专利信息的科技信息获得企业所处技术领域的技术发展趋势、竞争对手的专利布局等,从而指导企业在对本企业的专利申请保护的同时,寻求新的研究创新方向,并在此基础上构建自主技术优势,形成自主产品特色,力争在激烈的市场竞争中立于不败之地。


来源:IPRdaily

作者:秦晓靖

编辑:IPRdaily 彭莹

版权声明:作品版权归作者所有,如果无意之中侵犯了您的版权,请来信告知,本站将在3个工作日内删除




天奇智新
关于我们
公司优势
友情链接